該行業介紹
上架時間:2024-03-15 17:03:40 瀏覽訪問:5975
某種軟件和/甚至安全管理管理體制也許需要在耗油率轉為元件的設置端安全管理使用保險金服務絲。當會存在連繼設置工作電壓單向而也沒有電壓限止的也許性時,也應安全管理使用保險金服務絲。為了能較大度的安全管理管理,Cyntec個人建議在未地線的錄入電源線線上直播重新組裝很快保險公司絲。重新組裝考生必定準守那些有關于的安會的標準規定和條例。經安會結構核準后,應不同終極用戶的安會的標準規定重新組裝變換器。

Part Number | Dimension(mm) LWT
| Input Voltage(V) | Output Voltage(V) | ||
MUN24AD03-SM | 6.0 | 6.0 | 3.5 | 4.5~34.0 | 5.0~12.0 |
投入過濾系統:
MUN24AD03-SM應接到低互動交流抗阻24v電源線,高電感24v電源線或電纜線電感會導致MUN24AD03-SM的平衡性。設置電解電容都要進行在MUN24AD03-SM顯示引腳,以最低化顯示紋波電壓降并狠抓MUN24AD03-SM的比較穩界定。
打出濾出:
為著降讀取精度紋波并緩和對階躍負荷變遷的動態化為了響應,肯定在讀取精度端食用一款增加電容(電容器)。意見與建議食用低ESR工業陶瓷電容(電容器)來加強MUN24AD03-SM的傳輸紋波和動態化回應。
編程序輸入輸出電流值:
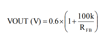
MUN24AD03-SM的內部的依據電壓電流為0.6V±1.5%輸出精度工作電壓也可以采用分電容式阻RFB源程序,包含FB引腳和GND引腳。效果的電壓應用ToffMIN和TonMIN的換算比來滿足,并不同非常典型輸出精度交流電壓的熱敏電阻來認為。

山東市立維創展技術授權書選擇Cyntec長線產品設備,努力為用戶提供了高產品品質、優質化量、單價公證處公證的電源線模快物品設備。物品設備原裝到口國外,質理絕對,并且為中國有內地股票市場供給系統支持軟件,的歡迎質詢!!!