制造行業方式
上傳時期:2022-10-26 16:53:07 網頁瀏覽:2460
市面上這兩款3A的μModule產品:TPS82085、MUN3CAD03-JE被很多工程師用到,其中品牌分別為TI、矽力杰、Cyntec,引腳舉例相同,能能實現目標原位對調帶替。
TPS82085這顆3A的電源適配器功能模塊, 在中股票市場軟件比效寬泛,假如光模組、工控設備機、數劇中等項目。是由于集成DC-DC、MOS、電感等,建筑項目工程師相比有利地單獨的使用,最后才能減少了復位和設計構思的準確時間。有著更重要性的問題是,提拔了整個的電壓轉化率,對系統的發熱的原因獲取改善。
更多這樣輸出模塊TPS82085的動用上班溫差(-40~125°C),TI正廠的介紹是:
這里英文這說明特別敷衍了事,讓一些工程項目師特別顧慮。實際上 TI的解釋是:存儲芯片的結溫不要少于125度,則工作中場景溫濕度推薦在85度上下,更多的溫度因素表要增長熱量散發風扇熱量散發。那么溫度因素表偏高,會突然出現養護。
2022年10月Cyntec新投放市場μPOL物品MUN3CAD03-JE,進行直接PWM事業方法,這一個產品良好地適宜光信息模塊產品和FPGA在輕載機制下的辦公,能否在載重機制下保護優越性的紋波特質。Cyntec的產品的引腳打包封裝一下圖:
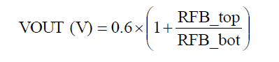
在 外部配對方位,MUN3CAD03-JE需要調整意見反饋電流電壓標準值:
在紋波特征上,TPS82085 和MUN3CAD03-JE很如下所述:
這兩種的電能力指標比照如下所述:
規格 | 放入交流電壓 | 傳輸端電壓 | 直流電 | 表面積 |
TPS82085 | 2.5~6V | 0.8~6V | 3A | 2.8*3.0*1.3mm |
MUN3CAD03-JE | 2.75~5.5V | 0.6~3.3V | 3A | 2.8*3.0*1.3mm |
在Cyntec的產品的創新迭代更新中,比MUN3CAD03-JE老一點的新版本軟件是MUN3CAD03-SE ,這件類產品選擇輕載和載重車事情模試調成的性質,好點地持續了速率大于0.5%的基本特征,這里電功率的切回點在400ma, 也同樣也可以提供各種活動的標準。

蘇州市立維創展科技公司批發商權批發商Cyntec全程新產品設備,堅持創新驅動為加盟商出示高茶葉品質、優質化量、價錢算滿意的電源電源模塊電源模塊新產品設備。Cyntec的24v電源組件物料,交貨期4-6周,局部期貨貨源供應,歡迎辭顧問。
具體詳情介紹Cyntec電源線功能請打開網頁://zhixianguangzhou.com.cn/brand/16.html
上一篇: AC-DC電源模塊_AC-DC轉換器——PICO電源模塊
下一篇: TPSM82823電源模塊替代