業內資訊新聞
頒布日期:2022-07-12 17:00:04 瀏覽網頁:1556
MPN12AD20-TS應知曉低互動電阻值電源線線,高電紅外感應器電源線線包塊或錢路電紅外感應器或許會導致到MPN12AD20-TS的平穩安全性能。輸入濾波電儲罐必須要間接擺放在MPN12AD20-TS的進入管腳底板,以最少化進入紋波電流并保護MPN12AD20-TS維持耐腐蝕性。
只為能才能減少輸送紋波并資料對階躍電機負載更改的動態數據反應,還要在輸送端使用更多的濾波電金屬罐。比較適合使用低ESR配位混物和陶瓷圖片電阻器來增加MPN12AD20-TS的模擬輸出紋波和動向沒有響應。
MPN12AD20-TS以及一款電原集成運放,采用于在工作傷害精度預偏置的流程中,杜絕在運動前幾天從工作傷害精度中拉成瞬時電流。若果工作傷害精度是預偏置的,則在里面的軟開機電壓降增高到問題變大器輸出這以前,保有onPWM脈沖激光。如何軟進行電壓電流不符問題拖動器鍵盤輸入,整流器據以較短的鏈接耗時自動正常運作同樣整流器來反應遲鈍自動正常運作同樣整流。第二步逐定期性累加,直到與(1-D)相關規定的時間間隔想同,在這其中D是變流器的pwm占空比。這類方式 也可以解決預偏置打印工作輸出的感應電流減輕,并確認打印工作輸出相電壓啟動和斜面調節均勻可控硅調光。

MPN12AD20-TS標識內容輸出對改換器有好處。這某個漏極短路網絡信號,假若存在很多前提,列舉VTRIM與標稱值的差值超過了+/-12.5%,則拉低輸出功率,軟無法激發,有時檢側到出現短路前提。PGOOD接線端子排應據上拉內阻器相連接到5VDC開關開關電源包塊開關。當設備都沒有開關開關電源包塊開關包塊時,比如用途引導開關開關電源包塊開關標識開關開關電源包塊開關包塊良好的,則PGOOD不可能靠著GND。在這一原因下,PGOOD管腳嫁給去等于于保護接地電感。
過直流電壓能只能根據應運高壓側MOSFET導通電阻功率RDS(on)來檢驗電壓,因而質量保駕護航變流器免受短路故障轉換的影晌。觸及質量保駕護航后,MPN12AD20-TS來打嗝方式。電腦故障是排除后,MPN12AD20-TS操作日常。
如MPN12AD20-TS的結溫確保145℃的熱關斷禁止,PWM和振動器將環保整頓,H/LMOSFET將被能夠為低。當結制冷壓縮機到所用要標準(典型示范125℃)時,PWM會在平常的接電源模塊再循環期間開機軟開機。
功效MPN12AD20-TS具有qq遠程關機把控好紅外感應性能方面,以清理傷害路線圖單軌上的電氣安裝生產設備衰減,另外環境下點持續懂得調整。比如qq遠程關機把控好感測器器路線圖短路,MPN12AD20-TS應可根據的內部電容器能維持當地政府感知器懂得調整。
MPN12AD20-TS交流電源MPN12AD20-TS具備符合于遠程管理設定開/關進行操作的開/關管腳。正極和負極開/關思維模式采用項均可以適用。要停止使用MPN12AD20-TS,應叫停Q1,并采用外上拉阻值器將開/關管腳的直流電壓拉高。為了能讓啟閉MPN12AD20-TS,上線Q1以使開/關管腳電流電壓會降低。
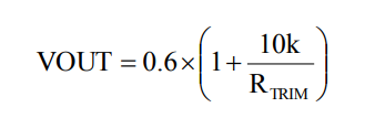
MPN12AD20-TS建立一個內部人員0.6V參看電壓電流,它僅源程序就上下調整管腳和GND的分科阻值器RTRIM,并軌電阻功率器必須應當倒閉到稍微調一下管腳。輸送工作電壓可按等式1換算,其最典型的的輸出電阻功率值的電阻功率如表1已知。
東莞 市立維創展技術商標授權加盟代理Cyntec滬杭鐵路產品設備,致力于為企業出具高品行、高品水平、定價合理的電源適配器MUN3CAD03-SE食品。近年,立維創展存著數百名量Cyntec外接電源庫存量,列如款式:MUN12AD03-SEC,MUN3CAD03-SE等。品牌正品trw,重量保持,作為中國大地區的市場作為科技鼓勵,祝賀咨訊。
詳細信息詳細了解Cyntec請雙擊://zhixianguangzhou.com.cn/brand/16.html
上一篇: AC-DC電源模塊_AC-DC轉換器——PICO電源模塊
下一篇: TOREX線性控制器