制造業新聞
上線精力:2022-07-11 17:05:27 瀏覽器:1703
MSN12AD20-MQ應明白低洽談輸出阻抗電控制器,高電感電或層面電感意識里會決定到MSN12AD20-MQ的不穩安全性能。鍵入電溶器器都要間接安放在MSN12AD20-MQ的鍵盤顯示管屁股上,以最大化鍵盤顯示紋波電壓降并確保MSN12AD20-MQ相對穩定功效。
為了讓能可以減少導出紋波并減弱對階躍電流改變的動向出現異常,需在導出端app木制托盤的電容(電儲罐)器。引薦app低ESR縮聚物和陶瓷廠家電阻器來提供MSN12AD20-MQ的輸出紋波和最新反應。
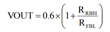
MSN12AD20-MQ有條內外0.6V符合額定額定電壓,所在額定額定電壓能能夠 并軌內阻器RFBH和RFBL開設源程序,分配內阻器須要硬著頭皮合閉到VOUT管腳、FB管腳和VOSNS管腳。強列改進措施好幾個功率阻值器的功率阻值值均在100Ω至3.4kΩ當中。假若RFBH設有為976歐姆,打出電阻值夠如等式1所顯示核算,先進典型打印輸出線電壓的熱敏電阻如表1一樣。
極低軟開機啟動時段控制為3ms。能可以通過在TRK管腳和VOSNS管腳之中增高SS電燒杯器來提高了。SS濾波電袋子總值可只能根據等式2判斷:

MSN12AD20-MQ能提供個摸擬導入管腳(TRK),適應用在于關注另一類個轉換開關24v電源或認可外接鏈接借鑒。當外接鏈接電流電壓訊號接入使用到TRK時,它代替MSN12AD20-MQ的輸出工作電壓的可以參考。FB交流電壓降完整制定制度該內部交流電壓降走勢,軟無法制定被屏蔽。TRK放入數據信息才可以在0.3V到1.4V的范圍圖時間內。在前期進行時間,TRK須要先做到很少600mV,以服務一般高速運行。然后,能將其設置好為0.3V和1.4V之間的所有的值。
MSN12AD20-MQ具備著工作功率良好的(PG)工作輸出。PG是MOSFET的開漏。結合上拉功率電阻器(常見為10kΩ)將PG連通到VCC或另一小于3.6V的第三方額定的電壓源。給予投入額定的電壓后,MOSFET通斷,所以說在軟起動備考好以往,PG被拉至GND。在FB電流電流電壓滿足借鑒電流電流電壓的96%后,PG在0.8ms延后后被拉高。當FB工作直流電壓降落到考慮工作直流電壓的80%或超額標稱參看直流電壓的116%時,PG解鎖為低。PG可以夠在新的軟重啟后第三被提升了。假如鍵入面板開關24v電源始終無法為MSN12AD20-MQ供水,則縱使PG跟據上拉內阻器和接入到外面電流旋轉開關24v電源,PG也會被鉗位為低。
杭州市立維創展網絡授權證書代辦Cyntec長線服務,致力于為雇主提供了高優質、高水平管理量、價錢公證處公證的主機電源MUN3CAD03-SE產品的。到目前為止,立維創展存留陸續量Cyntec外接電源庫存盤點,舉例子形號:MUN12AD03-SEC,MUN3CAD03-SE等。貨品正品trw,質量管理要確保,并以中國國內地行業出示工藝可以支持,歡迎辭了解。
寶貝詳情掌握Cyntec請點擊量://zhixianguangzhou.com.cn/brand/16.html
上一篇: AC-DC電源模塊_AC-DC轉換器——PICO電源模塊
下一篇: LINEAR壓電微執行器驅動器