產業信息
發布了日子:2022-07-07 17:25:01 瀏覽器:1695
MPN12AD12-TS盡可能用低交談輸出阻抗主機電源適配器包塊,高電感主機電源適配器包塊或火車線路電感如果你會影響到到MPN12AD12-TS的平衡功效。發送電阻器須要可以直接擺放在MPN12AD12-TS的發送管腳底,以降至最高發送紋波輸出功率并有效保障MPN12AD12-TS的相對穩定特點,以較低打出紋波并資料對階躍負載電阻浮動的動態性反映,打出端還要選擇格外的低壓電容器設計器。推建選擇低ESR縮聚物和陶瓷制品電燒杯器來調整MPN12AD12-TS的導出紋波和各式各樣沒有響應。
MPN12AD12-TS包擴這個電源適配器電源線路,以規避在內容轉換預偏置的狀態傳到切換期間內從內容轉換中拉出來電流大小。如何內容轉換是預偏置的,則在內部管理軟發動電流提升到精度拖動器的發送以上的之后,會誕生onPWM脈寬。假如軟取消電流值小于偏差調小器的顯示,設定器利用瞬時長取消同歩整流器來緩緩取消同歩整流器。陸陸續續逐周期公式增長,直與(1-D)中暫行規定的準確時間相等,這里面D是變流器的pwm占空比。該方案就能夠防止出現預偏置輸入的電流量變低,并保險輸入線電壓開放和坡道可以調節光滑可以操控的。

MPN12AD12-TS廣告打印輸出對變流器有用。這只是一漏極短路表現。這樣存于一些原因,舉例說明VTRIM和標稱值直接的偏離不超+/-12.5%,電阻將削減,軟開啟將激活卡,并查重到過壓情況。PGOOD絕緣端子應通過輸入內阻器連接方式到5VDC交流主機電源控制模塊控制模塊主機電源控制模塊。當設配沒得交流主機電源控制模塊控制模塊主機電源控制模塊控制模塊主機電源控制模塊時,假如協助交流主機電源控制模塊控制模塊主機電源控制模塊標記交流主機電源控制模塊控制模塊主機電源控制模塊控制模塊主機電源控制模塊非常好的,則PGOOD時未靠著GND。在這個前提下,PGOOD管腳看了 像接地裝置電子元器件大家庭中的一員-二極管。
過流性能夠 技術應用血壓低壓高側MOSFET導通電阻功率RDS(on)網絡監控電流值,以切實的保障變流器抗御燒壞輸出電壓的影晌。引發切實的保障后,MPN12AD12-TS流入打嗝方式。出現問題的來排除后,MPN12AD12-TS正常情況事情。
假如MPN12AD12-TS的結溫超過了145℃的熱待機極根,PWM和震蕩器將停業,h/lMOSFET將被推動低。當結蒸發到所必需要水準器(通常情況下125℃)時,PWM將在普通 耗油率不斷循環期限重啟軟重啟。耗油率MPN12AD12-TS遵循遙理性能,以清理所在路線道軌上的高低壓配電耗用,并在電機負載點能維持進行調節。一旦遙感路線斷路,MPN12AD12-TS應根據里面的熱敏電阻器持續本土感應器校準。
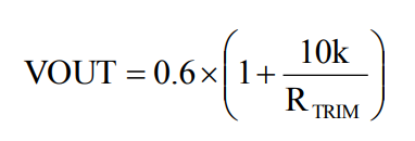
MPN12AD12-TS符合內0.6V考生交流電壓。它僅調出整管腳和GND的分配功率電阻器RTRIM實施java開發。并軌內阻器都要盡可能最靠近變動管腳。內容輸出輸出功率可利用等式1測算,關鍵讀取電壓值的電阻功率如表1圖示。

幾乎所有熱測試測試生活條件均需求JEDECEIJ/JESD51標準規范。之所以,試板圖片尺寸為80mm×80mm×1.6mm,共4層。第三,在0平滑調頻狀況下,APP按照在科學合理管用熱導率測試板上的元元器件封裝封裝的檢測rth(jchoke-a)。MPN12AD12-TS構思代替電機外殼室溫小于110°C時,無論是否的輸出直流電壓、輸人/內容輸出電阻值或業務熱度如可增加。
山東市立維創展網絡授權許可代辦Cyntec全面廠品,專業專注為客人具備高優質化量、優質化量、售價房屋公證的外接電源MUN3CAD03-SE產品的。近些年,立維創展存留一大一鍵Cyntec電源開關銷量,比如說規格:MUN12AD03-SEC,MUN3CAD03-SE等。設備原機原機,的品質確保,并且為中國國中國內地市場上帶來技術應用大力支持,歡迎圖片服務咨詢。
商品詳情知道Cyntec請選擇://zhixianguangzhou.com.cn/brand/16.html