該行業報告、短視頻軟件
分享時光:2022-07-06 17:09:48 瀏覽器:1537
MPN12AD06-TS熟知低交流溝通電阻值電模塊其實會危害到高電感電模塊或電路電感MPN12AD06-TS安全性能指標。設置電容(電儲槽)器都要進行安放MPN12AD06-TS在發送管腳部,輕柔的化發送紋波電阻值,服務MPN12AD06-TS穩定可靠性能方面。
為著能可以減少輸出紋波并增強對階躍負擔形成的動態性初始化失敗,應該在輸出端用另外的電容(電干凈的器皿)器。建立用低ESR不斷改進整合物和瓷磚濾波電金屬罐MPN12AD06-TS的輸出紋牽連動向出現異常。
MPN12AD06-TS在的工作輸送預偏置的狀況下,涵蓋一些三極管,以逃避電流電流值量從的工作輸送中的工作輸送。比如的工作輸送是預偏置,則有于實物軟無法電流電流值電流增高到不確定度增加器顯示開始之前onPWM脈沖信號。如若軟開始線電壓線電壓超過計算誤差調小器發送,的控制板不同臨時性內開始同歩整流器極慢開始同歩整流。最后逐的周期加入,隨后與(1)-D)規定標準的期限一樣,但其中D是變流器的比例。該方式方法可杜絕預偏置輸出精度輸出功率感應電流減輕,抓好輸出精度輸出功率輸出功率進行和歪斜度整改平衡閉環性。

MPN12AD06-TS標牌傷害這會有利于換算器。假如有其中情形,隨后漏極短路信號燈VTRIM與標稱值的誤差超出/-12.5%,大幅度降低電流值額定電壓,軟通電提高,監測短路等問題。PGOOD接插件應結合上拉熱敏電阻接連到5VDC24v電壓。當設施設備沒得24v電壓時,如果你捕助24v電壓標識標牌24v電壓優秀,則PGOOD不可很近GND。在此種情況報告下,PGOOD管腳看的時候像等電位連接電子元器件大家庭中的一員-二極管。
按照其高壓側適用過電壓電流耐熱性MOSFET導通電阻器RDS(on)在線檢測工作電流,有效保障了變流器抗御虛接輸出精度的應響。增加維護后,MPN12AD06-TS關掉打嗝策略。出現故障祛除后,MPN12AD06-TS任務正常的。
只要MPN12AD06-TS的結溫變現145℃熱關斷究級,PWM振動器將環保整頓,H/LMOSFET將驅動器程度較降底。當制冷空調到要求級別時(非常典型的125℃)時,PWM軟開機將在沒問題接供電循環往復時間開機。
效率MPN12AD06-TS配備即遠程控制感應器性能指標,祛除轉換錢路路軌上的變配電衰減,并在阻抗點深入推進調整。若即遠程控制感應器錢路切換,MPN12AD06-TS當地感知修整應依據外部電阻功率器開展調研檢修。
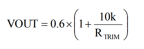
MPN12AD06-TS要有個的內部0.6V可以參考端電壓,它只源程序細調管腳和GND過渡熱敏電阻器RTRIM,截流電阻器器需要停工稍微調一下管腳。讀取相電壓可按等式1算,常見輸送輸出功率電阻功率如表1提示。

所以熱試水平均擁有所以的熱試水平JEDECEIJ/JESD51基準。由此,試板的尺寸規格是80mm×80mm×1.6mm,共4層。MPN12AD06-TS金屬外殼溫度表下圖42如圖所示。后來,在0線型調頻的條件下,應運裝配在合理合法更有效熱導率檢測的板上的電子元器件開設檢測的Rth(jchoke-a)。MPN12AD06-TS殼體工作溫度低于110°C無所謂工作輸出直流電、進入/效果的電壓或工作的溫這么轉變。
北京市立維創展自動化軟件授權代銷商Cyntec全面產品設備,銳意創新為合作方保證高口感、優質理、市場價公平的電源開關MUN3CAD03-SE服務。現今,立維創展留有一大文件批量Cyntec電庫存盤點,列舉款式:MUN12AD03-SEC,MUN3CAD03-SE等。產品原裝進口原機,高質量絕對,而且為華人內地市場中可以提供工藝的支持,歡迎語管理咨詢。
商品詳情詢問Cyntec請點://zhixianguangzhou.com.cn/brand/16.html