行業中房產資訊
公布準確時間:2022-07-05 16:35:24 瀏覽網頁:1541
MUN12AD06-SM應相連接到低討論會特性阻抗和高電感的24v電源引擎,中間各線路電感會會影響到MUN12AD06-SM的安全穩定能力。輸出電阻器還要時應貼近MUN12AD06-SM的鍵盤投入管腳,以很小化鍵盤投入紋波輸出功率并的保障MUN12AD06-SM不穩性能指標。
為并能縮減讀取紋波并資料階躍加熱器端差改變時的動向崩潰,要求在讀取端相連接超額的電感器。介紹食用低ESR縮聚物和陶瓷廠家電解低壓電容器設計來挺高MUN12AD06-SM的輸入紋波和動圖出錯。
MUN12AD06-SM并選擇瞬時PWM眼鏡框架,以完整美麗的動態平衡耐磨性和盡快瞬態崩潰。在兼具高階躍載荷電流大小的選用中,添加與RFB串連的C手機網絡CFF應該會不斷深化提速用電負荷瞬態初始化失敗。
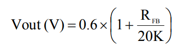
MUN12AD06-SM要具備0.6V±1.1%的內部人員參考價值交流電流值。模擬輸出交流電流值能能夠 相連接到Vout管腳和FB管腳的分離熱敏電阻器(RFB)對其進行代碼。輸出精度交流電壓可根據等式1計算方法,功率電阻器的選可規范表1。

廣州 市立維創展自動化受權代理加盟Cyntec全面設備,堅持創新驅動為朋友提供了高品質、優優質、價錢房屋公證的外接電源MUN3CAD03-SE貨品。到目前為止,立維創展藏有一大一鍵Cyntec開關電源貨存,比如說型號查詢:MUN12AD03-SEC,MUN3CAD03-SE等。廠品原裝進口原廠的,質理有保障,并給國大陸臺灣餐飲市場供應技術使用,祝賀咨詢公司。
情況學習Cyntec請點擊進入://zhixianguangzhou.com.cn/brand/16.html