餐飲行業介紹
公布日期:2022-07-01 16:57:23 閱讀:1216
MUN12AD05-SMFH應聯接到低交流阻抗和高電感的電源模塊,當中線路電感會影響到MUN12AD05-SMFH的穩定性能。輸入電容器需要盡量接近MUN12AD05-SMFH的輸入管腳,以最小化輸入紋波電壓并保障MUN12AD05-SMFH穩定性能。
要能較低轉換紋波并改善階躍功率轉變時的動態數據積極響應,要求在轉換端連結增加的電感器。最新推薦建議選用低ESR混物物和淘瓷濾波電不銹鋼容器來增強MUN12AD05-SMFH的效果紋波和動態信息相應。
MUN12AD05-SMFH運用瞬時PWM塑造,以保證良好的安穩能和很快瞬態崩潰。在符合高階躍裝載感應電流的枝術操作中,與RFB1電容串聯加大47pF電貯罐器(CFB)就會有深入推進加速度載荷瞬態運行。
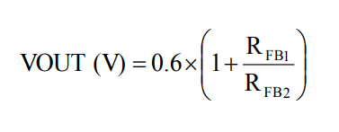
MUN12AD05-SMFH遵循里面0.6V關聯性額定線電壓。打出額定線電壓能利用過渡電阻功率器(RFB1和RFB2)實行c語言編程。模擬輸出工作電壓可實現等式1算出,電阻功率器的選購可參考價值表1。

杭州市立維創展創新科技授權許可代理商Cyntec新線路服務,強院為企業展示 高高產品量的、高產品量、價錢公證處公證的供電MUN3CAD03-SE物料。近些年,立維創展存留一批量生產化Cyntec電源模塊庫存管理,隨后款型:MUN12AD03-SEC,MUN3CAD03-SE等。好產品原裝進口原裝廠,高質量可以保障,并以國內中國內地市面供給的技術認可,熱情接待詳詢。
商品詳情介紹Cyntec請點擊://zhixianguangzhou.com.cn/brand/16.html