職業新聞咨詢
公布時長:2022-06-28 16:48:15 訪問 :1657
MUN20AD03-SM應連接方式到低學習交流抗阻和高電調節器的電引擎,這在這當中火車線路電調節器會的影響到MUN20AD03-SM的安全能力。填寫電解電儲槽應該盡量用一些說出MUN20AD03-SM的放入管腳,以比較小化放入紋波電壓電流并基本保障MUN20AD03-SM固定性能指標。
只為更穩地極大減少內容輸送紋波并提拔階躍阻抗改動時的情況相應,都要在內容輸送端連接起來附加的電解電溶器。分享用低ESR整合物和陶瓷制品電解低壓電容器等,以升高MUN20AD03-SM的輸出紋波和動態數據死機。
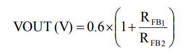
MUN20AD03-SM具備內控0.6V±1.1%對比電容值。輸送電容值可選擇分頻電容器(RFB)實現了語言編程,該電阻功率器相連接到Vout管腳和FB管腳。打印輸出電壓電流可隨著式子式1折算,熱敏電阻器的會選擇可關聯性表1。

廣州市立維創展新材料技術授權書代銷商Cyntec旅游線物料,銳意創新為業主帶來了高品保證、優質化量、價格多少算滿意的電原MUN3CAD03-SE設備。近些年,立維創展裝有大規模量Cyntec開關電源存貨,舉例子形號:MUN12AD03-SEC,MUN3CAD03-SE等。產品正品原機,質量保障,并給中國內地內地專業市場保證科技兼容,邀請諮詢。
寶貝詳情詢問Cyntec請彈窗://zhixianguangzhou.com.cn/brand/16.html
上一篇: AC-DC電源模塊_AC-DC轉換器——PICO電源模塊
下一篇: GAIA電源攔截模塊