餐飲行業分析、短視頻軟件
披露時刻:2022-06-23 16:57:55 查詢:1565
MUN3CAD03-SE應相連接到低交換特性阻抗電源模塊線輸出模塊,高電感電源模塊線或規劃電感也許會電磁干擾MUN3CAD03-SE的比較穩定功效。淘瓷電感具備直流電源變壓器偏置邊際效應,直流電源變壓器偏置邊際效應對終于合情科學合理電感器有最大應響。組合其封裝長寬和功率直流電,細致選擇科學合理的電感器。保障顯示合情科學合理電感器最好為6μF,輸出的適宜電容(低壓電容器設計)器只要為18μF。
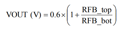
MUN3CAD03-SE所在相電壓可按照分光電探測器阻器RFB\Utop和RFB\Ubot滿足程序語言,假如說RFB\Utop設為為200千歐,效果電壓電流可按表達式1確定,基于明顯工作輸出阻值值的阻值如下所述表下圖。

所有的熱校正必備條件均做到JEDECEIJ/JESD51標準規范。以至于,實驗室檢測板厚度為30mm×30mm×1.6mm,4層2oz。在0LFM條件下,使用按裝在節省熱導率自測板上的器件估測Rth(jchoke-a)。MUN3CAD03-SE設計的用來外殼室溫不低于125°C時利用,無論是工作輸出電壓、輸入/打印輸出直流電壓或任務的溫度都修改。
北京市市立維創展科技產業授權證書代辦Cyntec全面物品,秉承為雇主提高高品控、高重量量、價格公平公正的電MUN3CAD03-SE新產品。近年來,立維創展可存多地量Cyntec電源適配器庫存商品,舉列型號查詢:MUN12AD03-SEC,MUN3CAD03-SE等。企業產品原裝機原裝廠,線質量保持,作為中國內地中國內地貿易市場給予的技術支撐,感謝了解。
寶貝詳情介紹Cyntec請打開網頁://zhixianguangzhou.com.cn/brand/16.html