的行業最新資訊
上架日子:2022-05-30 16:41:21 看:1112
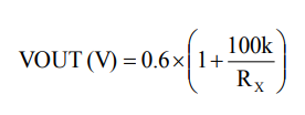
評估報告板適用于MUN12AD03-SM,高效DC/DC電源模塊。評估板在負載電流高達3A時組成+5.0V輸出電壓。輸出設置電阻器RX可以調整,以評估不同的輸出電壓。MUN12AD03-SM開關頻率為1MHz,使用提供的集成電路芯片可實現高達93%的效率。
電氣成套標準:
Parameters | Symbol | Value | Unit |
Input Voltage Range | VIN | 4.5~16 | V |
Output Voltage | VOUT | 5.0 | V |
Output Current | IOUT | 3 | A |
EVALUATION BOARD & EFFICIENCY::

傷害直流電壓VOUT可憑借更改RX(R6~R9)實現代碼編程。
成都市立維創展高新科技軟件授權一級代理Cyntec旅游線類軟件,秉承為用戶作為高好品質、優質化量、費用委托公證的外接電源模塊圖片類軟件。類軟件原裝進口原車,線質量水平 保障,而且要為全球大陸股票市場作為技術性兼容,追捧網絡咨詢。
詳情頁分析MUN12AD03-SM請點擊量://zhixianguangzhou.com.cn/product/3002.html