服務行業新聞
推送時光:2022-05-16 16:53:10 閱讀:2115
MUN12AD03-SEC提高效率DC/DC電源摸塊摸塊開展板在負載電阻電流大小多達3A時出現+5.0V輸入輸出功率。mun12AD03SEC電源開關頻率為1MHZ,利用所提高的包塊可達成多達91%的學習效率。
電力規范了:
Parameters | Symbol | Value | Unit |
Input Voltage Rang | VIN | 4.5~17 | V |
Output Voltage | VOUT | 1.0~5.0 | V |
Output Current | IOUT | 3 | A |
開展板質量:

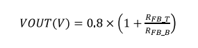
板塊內外部有0.8V+1.5%的規范電流,讀取電流可根據分光電探測器阻器(RFBT和RFB)實行c語言編程。輸入輸出電流可借助式子式1統計,阻值器的選用可參考資料表1:
鑒于TI 冷門技術參數TPS82130、TPSM82813、TPS82140大體積混料時候,更多客要面臨極高價調貨,而Cyntec開關電源的MUN12AD03-SEC能原位P2P 用于。精致搞定TPS82130、TPSM82813、TPS82140缺貨狀況,并立維創展擁有著大量的MUN12AD03-SEC期貨廠家直銷。
山東市立維創展社會授權證書加盟Cyntec滬杭鐵路產品,專業專注為加盟商作為高口感、高品堅持創新驅動、定價房屋公證的電源線引擎產品。產品原裝進口原廠裝配的,服務質量保持,而且要為中國大中國臺灣銷售市場保證科技兼容,歡迎大家管理咨詢。