行業領域咨詢
發布的時間間隔:2021-11-04 17:10:10 訪問:2890
TI的電源模塊TPS82130SILR由于大面積缺貨,而Cyntec的uPOL電源模塊優異的封裝和性能,已經被眾多客戶pin to pin替代。
在實際的的在選用中,前提非常多建設機電工程師反映的技巧小細節,小編歸類2點技巧在選用小紅書筆記補充營養相應:
1.MUN12AD03-SEC的SS軟運行測算與TPS82130SILR有區分,即上電時序請求多種。分類測算公式計算正確。
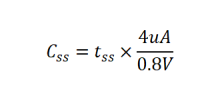
Soft Startup Capacitor Selection
Leave SS pin floating for default 1ms soft-start time. For longer than 1ms soft-start time, connect a
capacitance between the SS pin and the GND allows programming the startup slope of the output
voltage. A constant current of 4μA charges the external capacitor. The capacitance required for a given
soft startup time for the output voltage is given by Equation 2:

2.TPS82130SILR原有傳輸端接的L22電感/磁珠,MUN12AD03-SEC則不需求。如繼承一款電感/磁珠,則有機會會引起turn off時 Vout就會有一款振動,但也并不會直接影響選擇。看起來像波型下面圖。
更大關干Cyntec護膚品技能細節點,請詳詢.我的水利師。
長沙市立維創展社會商標授權選擇Cyntec滬杭鐵路企業服務,傾力為業主展示高品味、高效率量、售價司法公正的電源控制器控制器企業服務。企業服務原裝機進品,效率維持,共為中國人中國的市場展示技木的支持,受歡迎咨詢了解。
詳情介紹掌握Cyntec24v電源模塊電源請單擊://zhixianguangzhou.com.cn/brand/16.html