相關行業信息資訊
分享時期:2018-12-06 11:02:13 挑選:7953
|
低調 0.3“高度 高達4瓦
無散熱片或 選項可用
|
典型特征:
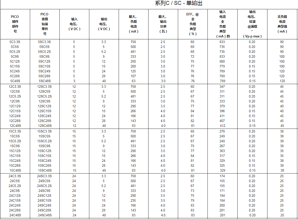
測試儀生活條件:就算另有講解,不然就環鏡溫度表為25oC,鍵盤輸入相電壓為額定值。 路線圖條件:輸出的間接與輸入相對的應。 讀取輸出功率區域: 5V主要參數:4至6.5V DC 12V參數:9至15V DC 15V型號查詢:12至18V DC 24V應用:17至28V DC 28V規格:21至31V DC 48V規格:25至50V DC 載重時的傷害電壓值容差: 5V型號查詢±0.25V 9V材質±0.3V 12V和15V產品型號±0.4V 24V和28V材質±0.5V 48V款型±0.7V 改變器率: 20至40 KHz 打出室內溫度彈性系數: 0.02%/oC 上班平均溫度: -25oC至+70oC區域環境熱度。不所需,散熱處理器。 補充攝氏度: -55oC至+125oC 屏蔽: 100兆歐分鐘的時間。@ 500V DC 跳閘保養: 臨時額度
|
型號以及參數

原因字數比較有限,太多的超小高壓電防曬隔離霜式DC-DC改變器指標規格型號、技術鼓勵,請點選右面客服中心關聯我們都!!!
多相關的DC-DC轉變成器護膚品,請點擊事件:
低壓薄型DC-DC電源模塊微型封裝單輸出100 至500 V
2.5W小型封裝高可靠性隔離式DC-DC電源模塊3.3 - 48 V